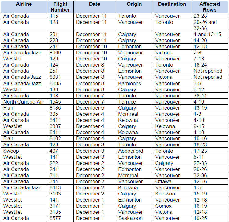
The BCCDC has added two recent flights to Victoria to their list of COVID-19 public exposure sites.
Both flights were with the Air Canada/Jazz airline.
The first flight, aircraft 8081, number landed in Victoria from Vancouver on December 8. The rows of people who may have been exposed have not been reported to the BCCDC.
The second listed with an exposure alert is aircraft number 8069 that travelled from Vancouver to Victoria on December 10.
Passengers in rows 2 to 8 may have been exposed to the virus.
The BCCDC says that passengers seated in affected rows should consider themselves to be at higher risk of exposure due to proximity to the positive case.
Affected travellers are asked to monitor their symptoms for 14 days and call 8-1-1 to get tested if they do develop symptoms of the virus.
Since late March, the BCCDC has not been contacting passengers who sat near a confirmed patient during their flight.
Instead all travellers must check their website to find out whether they have been exposed to the virus.
Since the beginning of June, multiple international and domestic flights have landed in or departed from Vancouver and Victoria with confirmed COVID-19 cases.
On December 1, a Westjet flight from Vancouver to Victoria and a flight from Calgary to Comox were also reported to have possible COVID-19 exposures.
Domestic Flights

International Flights












